jueves, 17 de marzo de 2022

COCIENTES NOTABLES

 DEFINICIÓN.

Se denomina cocientes notables, a ciertos cocientes cuyo desarrollo se puede escribir sin efectuar la división. Se caracterizan por ser cocientes exactos.

FORMA GENERAL DE LOS COCIENTES NOTABLES 

Todo cociente notable se puede presentar de la siguiente forma general:

$$\frac{x^m\pm a^m}{x\pm a}$$

donde se observa: 

  1. El dividendo y el divisor tienen, cada uno, dos términos. 
  2. Las bases del dividendo y divisor $“x”$, $“a”$ respectivamente son iguales. 
  3. Los exponentes en cada uno de los términos del dividendo son iguales. 
  4. Hay cuatro formas de cocientes notables, que se obtiene combinando los signos:
C.N.

Como consecuencia, se presenta 4 casos.

ESTUDIO DEL PRIMER CASO:

C.N.
Cocientes Notables

Aplicando Teorema del resto, regla práctica:

Hay dos casos:

a) Que $“m”$ sea par, luego:

No es cociente notable, porque el resto es diferente de cero.

b) Que $“m”$ sea impar, luego:

Sí es cociente notable. 

CONCLUSIÓN.- La forma:

C.N.

es C.N. cuando “m” es impar

ESTUDIO DEL SEGUNDO CASO: 

C.N.

Cálculo del resto

para que sea cero, m debe ser número par así:

CONCLUSIÓN.- La forma:

es C.N. cuando $“m”$ es un número par.

ESTUDIO DEL TERCER CASO:

Cálculo del resto

Como el resto es diferente de cero, no es C.N.

CONCLUSIÓN.- La forma:

no es cociente notable para ningún valor de “m”.

ESTUDIO DEL CUARTO CASO:

Cálculo del resto

Como el resto es cero, sí es C.N. 

CONCLUSIÓN.- La forma:

DESARROLLO DEL COCIENTE NOTABLE

Para desarrollar el C.N. se realiza la división por Ruffini, aplicado a un caso, pero se generaliza para los tres casos de cocientes notables con las reglas prácticas que se hará al final de la demostración.

Sea el C.N.

para m = # impar

Dividiendo por Ruffini:

Ruffini

El cociente es de grado = m - 1

Por lo tanto:

REGLAS PRACTICAS PARA ESCRIBIR EL DESARROLLO DE CUALQUIER COCIENTE NOTABLE

  1. El primer término del cociente es igual al cociente entre el primer término del dividendo y el primer término del divisor. 
  2. El último término del cociente es igual al cociente entre el segundo término del dividendo y el segundo término del divisor. 
  3. A partir del segundo término del cociente el exponente de $“x”$ comienza a disminuir de 1 en 1 hasta el valor cero. 
  4. También a partir del segundo término del cociente, aparece $“a”$ con exponente $“1”$ y en cada término posterior su exponente aumenta de 1 en 1 hasta $“m - 1”$. 
  5. Para los signos de cada término se debe tener en cuenta:

        a) Cuando el divisor es de la forma $(x + 1)$ los signos de los términos del cociente son alternados (+) y (-) comenzando por (+). 

        b) Cuando el divisor es de la forma $(x - a)$ los signos de los términos del  cociente son positivos.

NOTA.- El dividendo en ambos casos (a y b) puede ser:

Ejemplos

Desarrollar:
















o, en forma inmediata:



DETERMINACIÓN DE UN TÉRMINO CUALQUIERA DE UN COCIENTE NOTABLE

En forma general:

DEDUCCIÓN DE LA FORMULA, para el término k.

REGLA PARA EL SIGNO 

1) Cuando el divisor es de la forma $(x - a)$ el signo de cualquier término es positivo.

2) Cuando el divisor es de la forma $(x + a)$ el signo de los términos que ocupan un lugar par son negativos y los que ocupan lugar impar son positivos. 

Ejemplo:

C.N.

Solución: Dando la forma de C.N.:

de donde:

Luego para k = 25:

Para $k = 40$:

CONDICIÓN NECESARIA Y SUFICIENTE PARA QUE EL COCIENTE:

Establecidas las condiciones de divisibilidad, el cociente:

será notable cuando:

donde:







NÚMERO DE TÉRMINOS DEL COCIENTE NOTABLE

De $(α)$ y $(β)$:

EJERCICIOS RESUELTOS

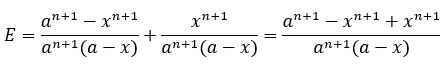
Simplificar:

Solución:

Sumando todos menos el último sumando:

escribiendo el numerador como C.N.

Sustituyendo en la expresión:

simplificando:

Hallar el término independiente del cociente:

Solución

Dando la forma de C.N. y desarrollando:

El término independiente del C.N. es:

No hay comentarios.:

Publicar un comentario